广西产拳卷地钱胶囊护肝作用初步探讨
广西产拳卷地钱胶囊护肝作用初步探讨
李鹏,李平凤,何瑞婷,韦安达,黎理
(YABO鸭脖,广西,南宁 530200)
四氯化碳(CCl4)诱导的动物急性肝损伤模型,是模拟人类肝脏疾病的典型模型,并且常作为保肝药动物实验的造模剂。许多研究证明,氧化应激与炎症反应是该模型关键的病理生理机制。CCl 4被肝脏吸收后,代谢生成大量的自由基,直接或间接造成肝组织损伤并引发脂质过氧化。受损的肝细胞释放相关损伤分子产生过量的促炎症细胞因子,产生二次的炎症肝脏损伤,导致严重的肝损害或肝功能衰竭[14]。目前研究表明,拳卷地钱总黄酮对于肝损伤具有较好的治疗作用[15],获得了较好疗效。因此,本章在前三章的实验研究基础上并参考前期研究基础,探究拳卷地钱胶囊对CCl4致大鼠急性肝损的保护作用,可验证拳卷地钱制剂产品—胶囊剂的安全性,稳定性,品质疗效(护肝作用)。研究结果表明,其护肝作用是通过抑制氧化应激反应和炎症反应达到缓解急性肝损伤的作用,为有效治疗肝损伤的临床应用提供数据参考。
1 材料与方法
1.1 供试品
拳卷地钱胶囊,广西壮瑶药重点实验室提供,批号:20181018。规格0.351 g/粒,拟临床用量为4粒/次,1天2次。取拳卷地钱胶囊内容物,过120目筛,没过筛部分使用粉碎机粉碎使全部通过120目筛,充分混匀,密封,置于干燥器内保存备用。
1.2 溶媒
0.5%羧甲基纤维素钠(0.5%CMC-Na)。
1.3 阳性对照品
水飞蓟宾胶囊,天津天士力圣特制药有限公司,批号:750712280。
1.4 主要试剂
CCl4(广东汕头市西陇化工厂,批号:0710262);花生油(钦州鲁花食用油有限公司,批号:20180531);水合氯醛(成都科龙化工,批号:2015090601);生理盐水(回音必集团东亚制药有限公司,批号:2018072916);丙氨酸氨基转移酶(ALT)酶联免疫分析(ELISA)试剂盒武(汉贝茵莱生物科技有限公司,货号: RA20112);天门冬氨酸氨基转移酶(AST)酶联免疫分析(ELISA)试剂盒(武汉贝茵莱生物科技有限公司,货号: RA20112 );总蛋白定量测定试剂盒(BCA法)(南京建成生物工程研究所,批号: 20180927);超氧化物歧化酶SOD试剂盒(南京建成生物工程研究所,批号: 20180903);丙二醛MDA(TBA法)试剂盒(南京建成生物工程研究所,批号: 20180827);谷胱甘肽过氧化物酶(GSH-PX)试剂盒(南京建成生物工程研究所,批号: 20180916);微量还原型谷胱甘肽测试盒(GSH)(南京建成生物工程研究所,批号: 20180913);过氧化氢酶(CAT)(南京建成生物工程研究所,批号: 20181012);大鼠肿瘤坏死因子α(TNF-α)酶联免疫吸附测定试剂盒(Elabscience,货号: Y6EISBE2UT);大鼠白介素6(IL-6)酶联免疫吸附测定试剂盒(Elabscience,货号: Y6EISBE2UT)。
1.5 仪器
全波长酶标仪(美国BioTek公司,型号: Epoch);电子分析天平(赛多利斯科学仪器(北京)有限公司,型号:SQP);明澈D24 UV纯水超纯水一体化系统(德国默克密理博);动物电子秤(美国双杰公司);Eppendorf移液枪(艾本德中国与县公司);涡旋混合振荡器(其林贝尔Kylin-Bell,型号:VORTEX-5);电热恒温水浴锅(上海齐欣科学仪器有限公司);台式高速冷冻离心机(湖南湘仪离心机厂,型号: H2050R);NIKON Eclipse Ni 尼康正置研究级显微镜,Nikon DS-Ri2摄像机(日本尼康公司);Panasonic SIM-F140AY65-PC 制冰机(松下电器产业株式会社)。
1.6 实验系统及饲养环境
Sprague Dawley种大鼠(SD大鼠) ,SPF级,雄性,体重(200±20)g,由湖南斯莱克景达实验动物有限公司提供,实验动物生产许可证号:SCXK(湘) 2016-0002),饲养于YABO鸭脖实验动物中心标准实验室,自由摄食饮水,适应性饲养7 d后用于实验。
1.7 剂量设计
水飞蓟宾胶囊,35 mg/粒,每天3次,每次2~4粒,则人临床最大公斤用量为7 mg/人/d。
拳卷地钱胶囊设低、中、高3个剂量组,低剂量为100 mg/kg(等效剂量,按体表面积折算,大鼠等效剂量相当于人临床公斤剂量的6.3倍),中、高剂量分别为200、400 mg/kg;水飞蓟宾组(等效剂量,44 mg/kg),另设溶媒组和模型组。
1.8 药液的配制
1.8.1 0.5%CMC-Na的配制
称取CMC-Na 2.5 g于纯净水中,使用磁力搅拌器搅拌使完全溶解,加纯净水至500 mL,充分混匀,即得0.5%CMC-Na。
1.8.2 拳卷地钱胶囊药液的配制
100 mg/kg药液的配制:称取拳卷地钱胶囊内容物2991 mg,加0.5%CMC-Na使用磁力搅拌器混匀,转移至100 mL量筒中,充分混匀,即得拳卷地钱总黄酮含量为10 mg/mL的拳卷地钱胶囊药液。
200 mg/kg-1药液的配制:称取拳卷地钱胶囊内容物5982 mg,加0.5%CMC-Na使用磁力搅拌器混匀,转移至100 mL量筒中,充分混匀,即得拳卷地钱总黄酮含量为20 mg/mL的拳卷地钱胶囊药液。
400 mg/kg药液的配制:称取拳卷地钱胶囊内容物11964 mg,加0.5%CMC-Na使用磁力搅拌器混匀,转移至100 mL量筒中,充分混匀,即得拳卷地钱总黄酮含量为40 mg/mL的拳卷地钱胶囊药液。
1.8.3 水飞蓟宾胶囊药液的配制
取水飞蓟宾胶囊10 粒(35 mg/粒)于研钵中,加0.5%CMC-Na研磨细,直至小鼠灌胃器可以自由抽动,转移至100 mL量筒,加0.5%CMC-Na至79.5 mL,充分混匀,即得4.4 mg/mL的水飞蓟宾胶囊药液。
1.9 分组、给药及造模
取60只雄性SD大鼠随机分成6组,即溶媒组、模型组、水飞蓟宾组、拳卷地钱胶囊低、中、高剂量组,每组10只。溶媒组和模型组按10 mL/kg灌胃给予0.5%CMC-Na,水飞蓟宾组及拳卷地钱胶囊各剂量组按10 mL/kg灌胃给予相应浓度的水飞蓟宾或拳卷地钱胶囊药液,每天1次,连续灌胃30 d。给药前称重1次,以后每3 d称重1次,并根据体重调整给药体积。
给药第30天,药后2 h,除溶媒组大鼠不做任何处理外,其余大鼠按5 mL/kg腹腔注射10%CCl4花生油混合液复制急性肝损伤的模型[27]。
1.10 采血及取材
24 h后,使用10%水合氯醛麻醉,腹主动脉取血,4 ℃,按3000 r/min离心10 min,分离血清,分装,-20 ℃贮存备用。
取约100 mg肝组织,按肝组织:生理盐水=1:9的比例加入预冷生理盐水,匀浆,匀浆液置冷冻离心机,4 ℃,按3000 r/min离心10 min,取上清液,分装-20 ℃保存备用。
肝组织取材,置于4 %多聚甲醛溶液中固定,12 h后换液1次,苏木素-伊红(HE)染色,光镜检查肝组织病理结构的改变。
1.11 血清肝功能指标的检测
采用ELISA法测定血清ALT、AST水平,按试剂盒说明书要求,对血清样品进行稀释处理,具体操作步骤按试剂盒说明书要求进行,于450 nm波长处测定各样品OD值,按要求拟合曲线及得到曲线方程,根据曲线方程折算出各样品ALT(ng/mL)或AST(ng/mL)水平。
1.12 血清炎症因子指标的检测
采用ELISA法测定血清TNF-α、IL-6水平,具体操作步骤按试剂盒说明书要求进行,于450 nm波长处测定各样品OD值,按要求拟合曲线及得到曲线方程,根据曲线方程折算出各样品TNF-α(pg/mL)或IL-6(pg/mL)水平。
1.13 肝组织氧化应激指标的检测
1.13.1 蛋白浓度的检测
采用微量酶标法(BCA法),具体步骤按试剂盒说明书要求进行,于562 nm波长处测定各样品OD值,按试剂盒说明书公式折算出各样品蛋白浓度(µg/mL)。
1.13.2 SOD水平的检测
采用WST-1法,具体步骤按试剂盒说明书要求进行,于450 nm处测定各样品OD值,按试剂盒说明书公式折算出各样品SOD水平(U/mgprot)。
1.13.3 MDA水平的检测
采用TBA法,具体步骤按试剂盒说明书要求进行,于532 nm处测定各样品OD值,按试剂盒说明书公式折算出各样品MDA水平(nmol/mgprot)。
1.13.4 GSH-PX水平的检测
采用GSH消耗法,具体操作步骤按试剂盒说明书要求进行,于412 nm处测定各样品OD值,按试剂盒说明书公式折算出各样品GSH-PX水平(U/mgprot)。
1.13.5 GSH水平的检测
采用微量酶标法,具体步骤按试剂盒说明书要求进行,于405 nm波长处测定各样品OD值,按试剂盒说明书公式折算出各样品GSH水平(µmol/mgprot)。
1.13.6 CAT水平的检测
采用可见光法,具体步骤按试剂盒说明书要求进行,于405 nm波长处测定各样品OD值,按试剂盒说明书公式折算出各样品CAT水平(U/mgprot)。
1.14 数据处理
实验数据用SPSS17.0统计,以(
<0.05, <0.05, <0.05, <0.05, ±s)形式表示,P<0.05则认为有统计学意义。计量数据符合正态分布和方差齐性,采用单因素方差检验分析,两组间比较采用LSD 检验分析;计量数据不满足正态分布或方差齐性,采用秩和检验Kruskal-Wallis H分析,两组间比较采用Mann-Whitney U 分析。
2 结果
2.1 体重
与模型组比较,溶媒组、水飞蓟宾组及拳卷地钱各剂量组大鼠体重给药前、给药30 d及体重增长差异均不具显著性(P>0.05),详见表4-1。
表 4-1 拳卷地钱胶囊对大鼠体重的影响(
±s)
| 组别 | 剂量(mg/kg) | n | 给药前(g) | 给药30 d(g) | 增长值(g) |
| 溶媒组 | _ | 10 | 223.9±20.1 | 338.2±75.0 | 104.3±57.5 |
| 模型组 | _ | 10 | 223.2±10.1 | 334.1±67.9 | 130.9±74.1 |
| 水飞蓟宾组 | 44 | 10 | 222.0±17.7 | 328.0±63.7 | 106.0±47.4 |
| 低剂量组 | 100 | 8 | 222.6±18.6 | 330.5±90.7 | 107.9±76.3 |
| 中剂量组 | 200 | 10 | 221.0±11.8 | 329.4±65.4 | 118.4±63.9 |
| 高剂量组 | 400 | 10 | 219.5±12.5 | 335.2±76.6 | 115.7±68.5 |
2.2 血清ALT和AST
与溶媒组比较,模型组大鼠血清ALT、AST水平显著升高(P<0.01);与模型组比较,水飞蓟宾组大鼠血清ALT、AST水平显著降低(P<0.01);拳卷地钱胶囊低、中、高剂量组大鼠血清ALT、AST水平(P<0.05或P<0.01),详见表4-2,图4-1~图4-2。
表4-2 拳卷地钱胶囊对血清ALT和AST水平的影响(
±s)
| 组别 | 剂量(mg/kg) | n | ALT(ng/mL) | AST(ng/mL) |
| 溶媒组 | _ | 10 | 14.60±2.16▲▲ | 11.80±0.71▲▲ |
| 模型组 | _ | 10 | 47.60±10.05 | 47.51±4.89 |
| 水飞蓟宾组 | 44 | 10 | 26.75±8.30▲▲ | 20.57±2.69▲▲ |
| 低剂量组 | 100 | 8 | 36.77±7.62▲ | 38.49±7.22▲▲ |
| 中剂量组 | 200 | 10 | 35.93±14.26▲ | 36.97±7.52▲▲ |
| 高剂量组 | 400 | 10 | 28.73±9.19▲▲ | 31.85±5.48▲▲ |
![]() |
注:与模型组比较,▲P▲▲P<0.01。
图4-1 拳卷地钱胶囊对血清ALT水平的影响
![]() |
图4-2 拳卷地钱胶囊对血清AST水平的影响
2.3 肝组织氧化应激指标
与溶媒组比较,模型组大鼠肝组织SOD、GSH、CAT水平显著降低(P<0.01),MDA水平显著升高(P<0.01),但GSH-PX水平差异不具显著性(P>0.05);与模型组比较,水飞蓟宾组大鼠肝组织SOD、GSH、CAT水平显著升高(P<0.01),MDA水平显著降低(P<0.01),但GSH-PX水平差异不具显著性(P>0.05);拳卷地钱胶囊各剂量组大鼠肝组织GSH、CAT水平显著升高(P<0.05或P<0.01),MDA水平显著降低(P<0.05或P<0.01),中、高剂量组SOD和GSH-PX水平显著升高(P<0.05或P<0.01),详见表4-3~表4-4,图4-3~图4-7。
表4-3 拳卷地钱胶囊对肝组织SOD、MDA和GSH-PX水平的影响(
±s)
| 组别 | 剂量(mg/kg) | n | SOD(U/mgprot) | MDA(nmol/mgprot) | GSH-PX(U/mgprot) |
| 溶媒组 | _ | 10 | 50.12±5.03▲▲ | 9.11±2.44▲▲ | 56.94±9.18 |
| 模型组 | _ | 10 | 30.58±2.41 | 16.88±3.77 | 62.18±14.17 |
| 水飞蓟宾组 | 44 | 10 | 45.95±3.17▲▲ | 7.13±2.65▲▲ | 66.86±11.61 |
| 低剂量组 | 100 | 8 | 34.72±2.43 | 13.60±2.66▲ | 69.38±13.39 |
| 中剂量组 | 200 | 10 | 35.50±4.72▲ | 12.54±3.13▲▲ | 79.28±10.53▲ |
| 高剂量组 | 400 | 10 | 39.40±7.87▲▲ | 10.96±2.16▲▲ | 81.35±14.17▲▲ |
注:与模型组比较,▲P▲▲P<0.01。
表4-4 拳卷地钱胶囊对肝组织CAT和GSH水平的影响(
±s)
| 组别 | 剂量(mg/kg) | n | CAT(U/mgprot) | GSH(µmol/gprot) |
| 溶媒组 | _ | 10 | 66.31±12.68▲▲ | 87.45±19.89▲▲ |
| 模型组 | _ | 10 | 35.97±5.10 | 38.91±13.12 |
| 水飞蓟宾组 | 44 | 10 | 58.12±6.37▲▲ | 73.85±14.79▲▲ |
| 低剂量组 | 100 | 8 | 40.78±3.21▲ | 52.99±11.73▲ |
| 中剂量组 | 200 | 10 | 41.99±5.38▲ | 57.42±9.88▲ |
| 高剂量组 | 400 | 10 | 53.12±13.10▲ | 69.48±10.69▲▲ |
注:与模型组比较,▲P▲▲P<0.01。
![]() |
图4-3 拳卷地钱胶囊对肝组织SOD水平的影响
![]() |
图4-4 拳卷地钱胶囊对肝组织MDA水平的影响
![]() |
图4-5 拳卷地钱胶囊对肝组织GSH-Px水平的影响
![]() |
图4-6 拳卷地钱胶囊对肝组织CAT水平的影响
![]() |
图4-7 拳卷地钱胶囊对肝组织GSH水平的影响
2.4 血清炎症因子指标
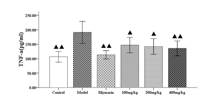
与溶媒组比较,模型组大鼠血清TNF-α和IL-6水平显著升高(P<0.01);与模型组比较,水飞蓟宾组大鼠血清TNF-α和IL-6水平显著降低(P<0.01);拳卷地钱胶囊各剂量组大鼠血清TNF-α和IL-6水平显著降低(P<0.05或P<0.01),详见表4-5,图4-8~图4-9。
表4-5 拳卷地钱胶囊对血清TNF-α和IL-6水平的影响(
±s)
| 组别 | 剂量 (mg/kg) | n | TNF-α (pg/mL) | IL-6 (pg/mL) |
| 溶媒组 | _ | 10 | 106.56±26.03▲▲ | 25.43±3.91▲▲ |
| 模型组 | _ | 10 | 191.10±53.34 | 38.55±4.81 |
| 水飞蓟宾组 | 44 | 10 | 113.35±20.10▲▲ | 28.14±3.70▲▲ |
| 低剂量组 | 100 | 8 | 147.11±32.09▲ | 33.49±3.94▲ |
| 中剂量组 | 200 | 10 | 141.97±37.85▲ | 33.43±4.22▲ |
| 高剂量组 | 400 | 10 | 135.74±36.45▲▲ | 29.34±2.19▲▲ |
注:与模型组比较,▲P▲▲P<0.01。
![]() |
图4-8 拳卷地钱胶囊对血清IL-6水平的影响
![]() |
图4-9 拳卷地钱胶囊对血清中TNF-α的影响
2.5 对肝组织病理变化的影响
可观察到溶媒组大鼠肝脏的细胞表面光滑红润,有较好的弹性,没有明显的病变特征。模型组大鼠的肝脏细胞表面出现较多较大的暗灰色白斑,疏松质脆。与模型组比较而言,水飞蓟宾胶囊组和拳卷地钱总黄酮胶囊组的大鼠肝脏细胞表面皆有不同程度的改观。其中,拳卷地钱胶囊组(400 mg/kg/d)改善最为明显,比较接近溶媒组。
溶媒对照组大鼠肝小叶结构完整,肝细胞索排列整齐,细胞核大而清晰,胞质丰富,汇管区和中央静脉周围无细胞坏死、无炎症细胞浸润等病理变化。模型对照组肝细胞索排列紊乱,汇管区和中央静脉周围细胞大量坏死,炎症细胞浸润明显。与模型对照组比较,水飞蓟宾阳性对照组和拳卷地钱胶囊组肝细胞病理变化状况明显改善,肝小叶结构基本完整,肝细胞坏死和炎性浸润较轻,其中,拳卷地钱胶囊组(200 mg/kg/d)改善最为明显,见图4-10。
![]() |
图4-10 拳卷地钱胶囊对肝组织病理变化的影响(HE×400)
3 小结与讨论
CCl4经肝脏代谢后形成自由基,攻击细胞膜,使细胞膜通透性增加,造成肝损伤;同时,肝细胞内的AST和ALT溢出,从而导致血清中AST和ALT升高,其活性可作为评价肝损伤程度的指标[16]。经CCl4处理后,与溶媒对照组比较,模型对照组血清ALT和AST显著升高,病理切片也显示肝组织受损严重,表明大鼠急性肝损伤模型建立成功。与模型对照组比较,拳卷地钱胶囊组血清ALT和AST降低,病理切片也表明肝组织受损较轻,综合表明,拳卷地钱胶囊对急性肝损伤大鼠具有保护作用。
CCl4使肝细胞受损后,最终会产生大量脂质过氧化产物MDA,而MDA和自由基均能攻击细胞膜,造成肝细胞坏死,使肝损伤程度进一步加重。SOD和GSH-PX能够清除体内的自由基和过氧化物,抑制脂质过氧化反应,减少肝细胞膜被攻击而受损,从而起到保护肝细胞的作用[17]。本实验结果表明,与模型对照组比较,拳卷地钱胶囊组大鼠血清中SOD活性升高,MDA含量减少,GSH-PX活性无明显差异,提示拳卷地钱胶囊可能通过抑制脂质过氧化反应而发挥保护肝脏的作用。
TNF-α是具有促炎和免疫调节双重功能的细胞因子,肝脏是TNF-α的重要靶器官。IL-6作为炎症反应的主要调节介质,在炎症反应中起到关键的作用。TNF-α能够诱导IL-6等炎症因子的产生,形成炎症的级联放大效应,最终加重肝损伤[18-20]。本实验结果表明,与模型对照组比较,拳卷地钱胶囊组大鼠肝组织中TNF-α和IL-6水平下降,提示拳卷地钱胶囊可能通过抑制炎症而发挥保护肝脏的作用。
以上研究结果表明,拳卷地钱胶囊对CCl4致急性肝损伤有较好的保护作用,其作用机制可能与抑制脂质过氧化、抗炎作用有关,有效减轻肝组织损伤程度,拮抗CCl4致大鼠急性肝损伤。
参考文献
[1]朱华,牛思琪,龙莉,黎理,谢凤凤,笪舫芳,秦丽.HPLC-MS法鉴定广西产拳卷地钱中5种黄酮类成分[J].中华中医药学刊,2020,38(03):17-23.
[2]李鹏,朱华,黎理,谢凤凤,梁敏婷,韦秋兰.不同产地拳卷地钱中芹菜素的含量测定研究[J].壮瑶药研究,2019(01):27-39+101.
[3]朱华,韦松基主编.壮药药材学[M].南宁:广西民族出版社.2006.79.
[4]朱华,许立拔,梁爽.广西产拳卷地钱化学成分研究[J].中药材,2019,42(04):798-801.
[5]李鹏,李平凤,黎理,戴忠华,杜沛霖,谢凤凤,朱华.地钱属植物研究进展[J].大众科技,2017,19(10):47-49.
[6]王跃峰,冯旭,苏健,傅鹏,邱骥鹏,朱华.广西产拳卷地钱HPLC指纹图谱研究[J].广西植物,2018,38(05):577-582.
[7]朱华,韦松基主编. 常用壮药生药学质量标准研究[M].南宁:广西民族出版社,2003.88.
[8]王跃峰,杜沛霖,谢凤凤,梁子宁,王孝勋,朱华.广西产拳卷地钱资源调查研究[J].大众科技,2017,19(09):12-13+26.
[9]朱华,傅鹏主编. 壮药材锡叶藤、兰香草、大叶金花草、耳草的研究[M].南宁:广西科技出版社,2016.57.
[10]王跃峰,张可锋,周雨晴,杜沛霖,白燕远,朱华.拳卷地钱总黄酮对四氯化碳致急性肝损伤大鼠的保护作用及其作用机制[J].时珍国医国药,2017,28(02):277-279.
[11]朱华,梁东艳,笪舫芳.拳卷地钱总黄酮提取物抗乙型肝炎病毒体外实验研究[J].大众科技,2013,15(04):110-111+99.
[12]朱华,傅鹏,苏健主编. 壮药材石仙桃、昂天莲的研究[M].南宁:广西科技出版社,2017.47.











单点登录
账号密码登录