尊敬的用户,您好!

网站不支持您所使用的浏览器版本(可能会出现网页变形等问题)。为了更好地展示页面效果,请您使用以下浏览器(点击图标会跳转到相关浏览器的官方网站下载页面)。

YABO鸭脖危旧房改住房改造项目欢迎您!
您的位置: 首页 >通知公告>详细内容

通知公告

关于申购非还建住房职工交纳购房意向金的通知

发布时间:2021-03-04 09:47:00 浏览次数: 【字体:
 
通知!通知!
 

 

 

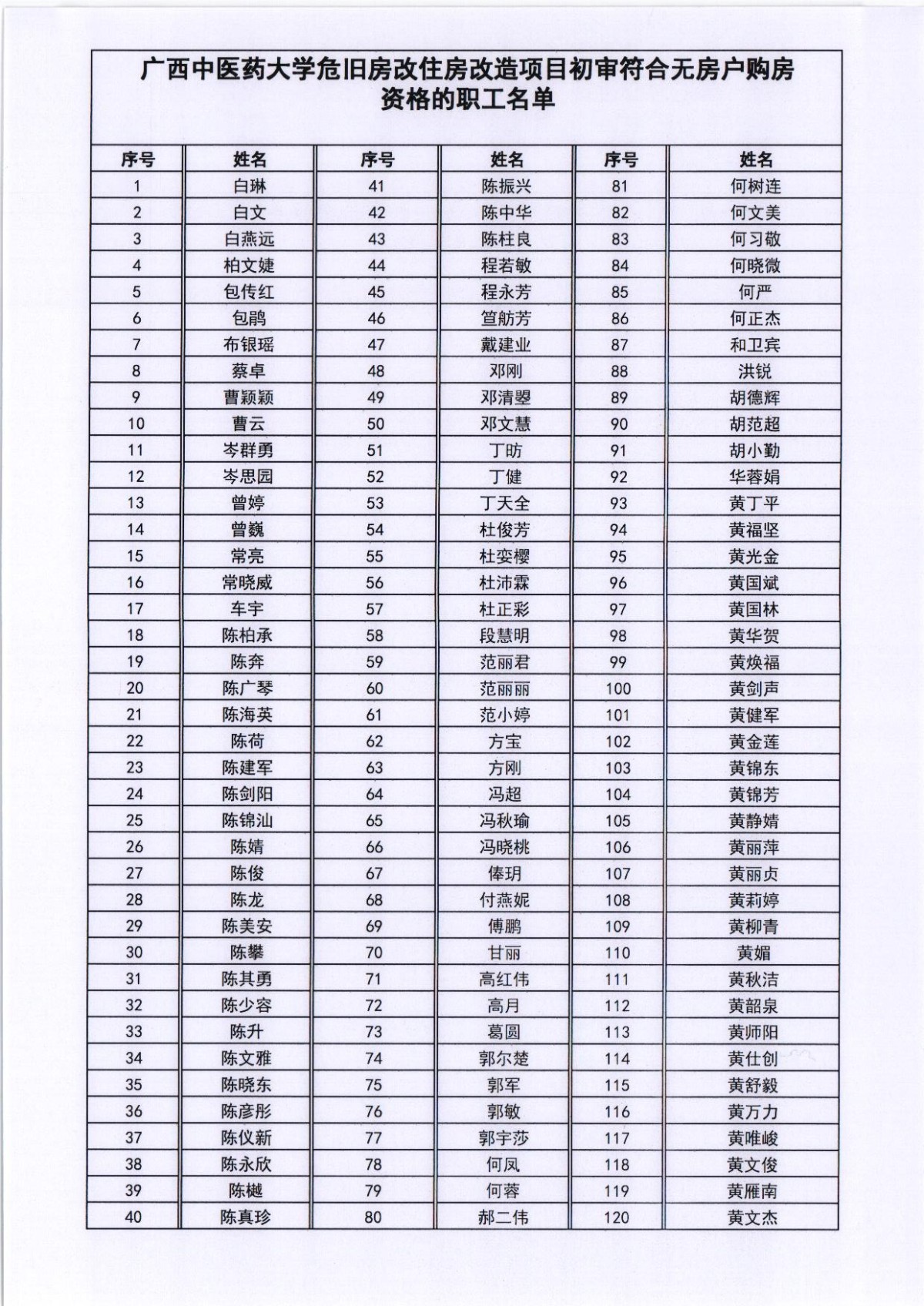
名单公布
 

 

1 007.jpg

 

 
 

 

 

 
建成后效果图
 

改造危旧住房,
建设美好家园。。
 
 
 

 

END

 

扫码关注更多项目信息

 

 

 

分享到:
【打印正文】