【科学进展】抗肥胖药物分子作用机理研究取得进展
肥胖是危害人类健康的世界性的病症。肥胖增加高血糖、高血脂、高血压、脂肪肝、糖尿病和动脉粥样硬化等代谢性慢性病的风险,是全球医学界研究的热点问题。
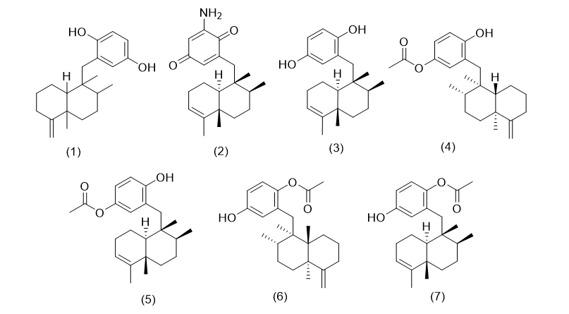
潘东进博士课题组致力于抗肥胖活性药物筛选和降脂作用机理研究,研究对象包括岩藻黄素、虾青素、不饱和脂肪酸等。岩藻黄素、虾青素等天然活性成分具有显著的降脂活性,但作用机理尚不明确。海洋源天然产物中Avarol等倍半萜类化合物(Figure 1)具有潜在的降脂活性,尚未进入临床研究。
在抗肥胖药物作用分子机制研究中,通过药物亲和反应的靶点稳定性(DARTS)、表面等离子体共振(SPR)实验和Western blot等实验发现了Dihydromyricetin (DHM)、EGCG可以直接作用于肥胖的潜在新靶点GRP78,具有显著的降脂功能(Figure 2-5)。目前正在开展动物实验对该靶点的体内实验做进一步的生物学验证,针对GRP78抗肥胖作用的上下游机制开展深入研究。这些分子作用机理的研究,将为我们在动物、细胞和分子水平了解抗肥胖药物的作用途径和作用机制提供线索。后续研究中,将以GRP78蛋白作为靶点进行药物筛选。通过结构修饰等明确其构效关系,进一步筛选出安全性更好,专一性更强的天然化合物。

Figure 1 Molecular structure of marine-derived sesquiterpenes

合作单位华南农业大学孙彬妹为上述论文的第一作者,夏威夷大学Li QX,中国热带农业科学院热带生物技术研究所谭德冠,YABO鸭脖海洋药物研究院潘东进为上述论文的共同通讯作者。
相关论文信息:
Sun B, Tan D, Pan D, Baker MR, Liang Z, Wang Z, Lei J, Liu S, Hu CY, Li QX. Dihydromyricetin Imbues Antiadipogenic Effects on 3T3-L1 Cells via Direct Interactions with 78-kDa Glucose-Regulated Protein. J Nutr. 2021 Apr 8:nxab057. doi: 10.1093/jn/nxab057.

单点登录
账号密码登录